matlab子函数整理

根据《数字信号处理》老师给出的PPT整理,权当学习记录。

Matlab子函数

一些《数字信号处理》实验上常用的子函数:

  • abs:求绝对值
    • 调用格式:y = abs(x) ;计算x的绝对值
    • 当x为复数时,得到的是复数模(幅值)、
    • 当x为字符串时,abs(x)得到字符串的各个字符的ASCII码,例如x=‘123’,则abs(x)=49 50 51;输入abs(‘abc’),则ans=97 98 99。

  • sqrt:求开方
    • 调用格式: d = sqrt(x) ;计算根号x的值

  • plot:按线性比例关系,在x和y两个方向上绘制二维图形。
    • 调用格式:
      • plot(x,y);绘制以x为横轴、y为纵轴的线性图形
      • plot(x1,y1,x2,y2,…);在同一坐标系上绘制多组x元素对y元素的线性图形。

  • stem:绘制二维脉冲杆图(离散序列)图形
    • 调用格式: stem(x,y);绘制以x为横轴、y为纵轴的脉冲杆图图形
    • 图的形状如下图:

在这里插入图片描述

  • stairs:绘制二维阶梯图图形

    • 调用格式:stairs(x,y)

    在这里插入图片描述

  • subplot:建立子图轴系,在同一个图形界面上产生多个绘图区间

    • 调用格式:subplot(m,n,i)+ stairs(x,y)(某绘图的语句)
    • 解释上面的代码:子图系是mn的,要把下面的图画在第几个位置(1开始,mn是最后一个)
    • 调用形式及效果如下:

在这里插入图片描述

  • 一些给图形做标注的函数:(对上方最近的绘图指令生效)

    • title:在图形的上方标注图名
      • 调用格式:title(“string”)
    • xlabel:在横坐标的下方标注说明
      • 调用格式:xlabel(“string”)
    • ylabel:在纵坐标的左侧标注说明
      • 调用格式:ylabel(“string”)
    • axis:限定图形坐标的范围
      • 调用格式:axis([x1,x2,y1,y2]); %横坐标范围为[x1,x2],纵坐标范围为[y1,y2]
  • 一些简单的数组赋值方法:

    • A = [123;456;789] %生成一个按照给定的3*1的数组
    • A(4,2) = 11 %将原数组扩充为4*2的大小,然后给对应的位置赋值
    • A(5,:) = [13,14] %给数组A的第5行整行赋值,此时右边数组必须跟原数组的大小相同,即如果原数组为5列的,右边赋值的数组元素只能是1个(全部赋值为同一个)或者5个
    • 数组直接与常数运算是可行的,如A/2 就是把数组A中的每一个元素都除以2
    • 数组的值可以赋为复数
    • 同理可以对复数的数组取反等操作
    • t = 0:0.05:3 %赋值均匀分布的数组,区间为3,间隔为0.05
    • 求数组(或变量的长度): N = length(t)
    • 取复数的实部&虚部:X = real(h) ; X = imag(h)

  • 一些产生波形的函数

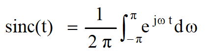
    • sinc:产生sinc函数波形
      • 调用格式: x = sinc(t),可用于计算下列函数:
        在这里插入图片描述
      • 这个函数是宽度为2pai,幅度为1的矩形脉冲的连续逆傅里叶变换,即
        在这里插入图片描述
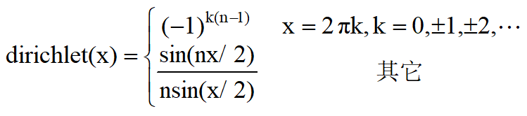
    • diric:产生dirichlet或周期sinc函数

      • 调用格式:y = diric(x,n);n为正整数,y为对应的x元素的dirichlet函数,如下:
        在这里插入图片描述
    • rand:生成随机信号

      • 调用格式:x = rand(n,m) %产生一组具有n行m列的随机信号

时域离散信号

  • 概念:在时间轴的离散点上取值的信号,称为离散时间信号。通常,离散时间信号用x(n)表示,其幅度可以在某一范围内连续取值。
  • 由于信号处理所使用的设备和装置主要是计算机或专用的信号处理芯片,均以有限的位数来表示信号的幅度,因此,信号的幅度也必须“量化”,即取离散值。我们把时间和幅度上均取离散值的信号称为时域离散信号或数字信号。

常用的时域离散信号

  • 单位抽样序列

在这里插入图片描述
在这里插入图片描述

  • 单位阶跃序列

在这里插入图片描述
在这里插入图片描述

  • 实指数序列

在这里插入图片描述
在这里插入图片描述

  • 复指数序列

在这里插入图片描述
在这里插入图片描述

  • 正(余)弦序列

在这里插入图片描述
在这里插入图片描述

  • 锯齿波序列

在这里插入图片描述
在这里插入图片描述

  • 矩形波序列

在这里插入图片描述
在这里插入图片描述

  • 随机序列

在这里插入图片描述

文章目录
  1. 1. Matlab子函数
  2. 2. 时域离散信号
    1. 2.1. 常用的时域离散信号